非线性光学极化率的经典描述
发布时间:2014-06-18 16:53:14
作者:
极化率的色散特性
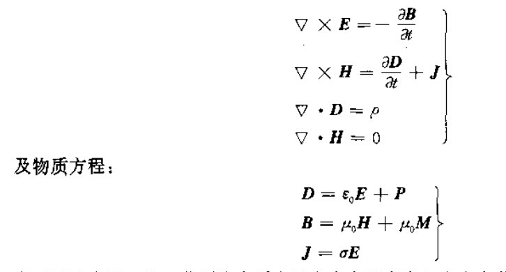
由光的电磁理论已知,光波是光频电磁波,它在介质中的传播规律遵从麦克斯韦方
程组:

上面两式中的.j和ρ分别为介质中的自由电流密度和自由电荷密度,M为磁化强度,ε为真空介电常数,μ为真空磁导率,σ为介质的电导率,P是介质的极化强度。由于我们研究的光与物质相互作用主要是电作用,可以假定介质是非磁性的,而且无自由电荷,即M-O,J-o,P-o,所以,上述方程可简化为
光在介质中传播时,由于光电场的作用,将产生极化强度。







联系我们
常见问题
